1. トップ
  2. どうやって計算するか覚えてる?「1/2−1/3」→暗算できる?

どうやって計算するか覚えてる?「1/2−1/3」→暗算できる?

  • 2025.8.4
undefined

今回の問題は分数どうしの引き算です。分母が揃っていないので、通分してから計算する必要があります。

計算過程が一つ増えるとそれだけで間違えしまう可能性が増え、面倒な気持ちにもなりますね。

しかし、分数の引き算に関してあることを知っているとほとんど一瞬で問題を解けるようになります。詳しい条件をおさらいしていきましょう。

問題

次の計算をしなさい。
1/2−1/3

それぞれの分母に注目します。

解説

この問題の答えは「1/6」です。

一瞬で解くためにはそれぞれの分母に注目します。分母は2と3でその差は1。さらに、分子がどちらも1の場合は、とても簡単に計算することができます。

<簡単に計算できる分数同士の引き算>
・条件:分母どうしの差が1であること、それぞれの分子が1であること
・計算方法:答えの分母はそれぞれの分母を掛けた数、分子は1

たったこれだけで解くことができます。

問題の分数は、分母が2と3です。よって、答えの分母は、それぞれの分母を掛けて次のように計算します。

2×3
=6

分子は1を当てはめるだけです。

そのため、答えは1/6となります。

では、どうしてこのように計算できるのか考えてみましょう。

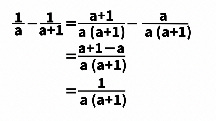
どんな数にも対応できるように文字を使って表します。まず、一つ目の分母をaとするともう一つの分母はa+1と表すことができますね。aを使った分数の足し算を計算してみましょう。まずは通分を行います。

 

undefined

このように最終的に分子には1だけが残り、分母には「a×(a+1)」が残ります。

まとめ

今回は分母と分子に特徴がある分数どうしの引き算を簡単に計算する方法を紹介しました。

文字を使って一般化する練習をすることで、他の問題にも対応するための応用力を養うことができます。

※当メディアでご紹介する数学関連記事においては、複数の解法を持つものもございます。 あくまでも一例のご紹介に留まることを、ご了承ください。



文(編集):うおうお
数学の教員免許を所持。個別指導・集団指導の学習塾で数学の講師として小学生から高校生までの指導や、小学生の宿題指導を通して算数の魅力を深堀して楽しく伝えている。現在は民間学童保育所で放課後児童支援員として勤務しながらフリーランスで受験指導もしている。


類似の問題に挑戦!

どうやって計算するか覚えてる?「2/3÷4/9」正しく計算できる?
どうやって計算するか覚えてる?「2/3÷4/9」正しく計算できる?