1. トップ
  2. クイズ
  3. どうやって計算するか覚えてる?「8^5÷4^6」→正しく計算できる?

どうやって計算するか覚えてる?「8^5÷4^6」→正しく計算できる?

  • 2025.7.31
undefined

「累乗」の表現を使うことで、大きな数も簡単に表すことができます。

その一方で、正しい計算方法を知らなければ、答えを求めることができなくなります。

今回は、累乗に関する問題に挑戦してみましょう。

問題

次の計算をしなさい。
8^5÷4^6

※当メディアでは、「8の5乗」のような累乗を「8^5」と表します。

「8^5」は、「8を5回掛けた数」です。地道に掛け算をすると、とても大変な計算になってしまいます。

どのように計算をすれば良いのでしょうか。

解説

今回の問題の答えは「8」です。

また、途中の計算は次のようになります。

8^5÷4^6
=(2^15)÷(2^12)
=2^3
=8

どのように計算をしたのか解説をしていきます。

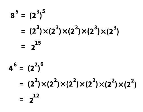
まず「8^5」や「4^6」を簡単になるように変形します。

8=2^3
4=2^2
ということを利用すると、次のようになります。

undefined

これによって、元の計算式は「(2^15)÷(2^12)」となります。

「2を15回掛け算した数」を「2を12回掛け算した数」で割るので、その計算結果は「2を3回掛け算した数」になります(15−12=3)。

したがって、
2^3=8

よって、答えは「8」です。

まとめ

累乗は便利な表現ですが、数が大きくなると、地道な計算では求めることができなくなります。

計算方法を忘れていた方は、ぜひ学び直しをしてみましょう!

※当メディアでご紹介する数学関連記事においては、複数の解法をもつものもございます。
あくまでも一例のご紹介に留まることを、ご了承ください。



文(編集):SAJIMA
日本国内外の学校、学習塾で数学・理科の講師として幼児から高校生までを指導。現在はフリーランスとして独立し、オンラインを中心に授業を展開している。子供への学習指導だけでなく、大人向けの数学講座も開講し、算数・数学の楽しさを広く伝える活動を行っている。日本数学検定協会認定「数学インストラクター」


もう一問挑戦!

これどうやって計算するか覚えてる?「(9−8)^7」→正しく計算できる?
これどうやって計算するか覚えてる?「(9−8)^7」→正しく計算できる?
の記事をもっとみる