1. トップ
  2. 恋愛
  3. 分子でコンピュータにログインする技術を開発

分子でコンピュータにログインする技術を開発

  • 2025.5.20
Credit:Canva

アメリカのテキサス大学オースティン校(UT Austin)で行われた研究によって、分子の鎖にコンピュータの11文字パスワードをそっくり書き込み、電気信号だけで読み出してPCを解錠するという“分子メモリ”技術が実証されました。

これは分子に情報を書き込み、電気信号によって読み出すという世界初の試みであり、将来的には新しいデータ保存技術につながると期待されています。

しかし電気信号だけでどうやって読み込みが実現したのでしょうか?

研究内容の詳細は2025年5月16日に『Chem』にて発表されました。

目次

  • HDDの限界を超える「分子メモリ」構想はこうして生まれた
  • 「鍵」は分子の中に──分子の鎖がPCロックを開けた瞬間
  • 分子ハードドライブ時代へのロードマップと残る課題

HDDの限界を超える「分子メモリ」構想はこうして生まれた

HDDの限界を超える「分子メモリ」構想はこうして生まれた
HDDの限界を超える「分子メモリ」構想はこうして生まれた / Credit:Canva

現在、ハードディスクやフラッシュメモリなどの従来型ストレージには限界が見え始めています。

大容量化は進んだものの、これらの装置は寿命が平均5〜10年と短く、長期的なデータ保存には不向きです。

また常時の電力供給や維持管理コストも大きいという欠点があります。

デジタルデータの爆発的増加に伴い、高密度で低コスト、長寿命の新たな記憶媒体が求められているのです。

その有力な候補として注目されているのが分子による情報記録です。

中でもDNAは、4種類の塩基(A・T・G・C)という限られた“文字”で私たちの遺伝情報を膨大に保存しており、高い情報密度と長期安定性を両立する分子メモリの実例と言えます。

研究チームのプラヴィーン・パスパシ氏は「分子は電力を必要とせず非常に長期間にわたり情報を保存できます。自然がその可能性を証明してきました」と指摘しています。

近年、DNAを使って数百キロバイトからメガバイト規模のデータをエンコード(情報を別の形にする)したり復元したりする実験も成功しており、分子記憶媒体としての可能性が示されてきました。

DNAに情報を組み込んだ細菌を持っていれば、細菌の存在自体が情報媒体となるのです。

もし肌の常在菌として住み着かせることができれば、誰にもわからない情報を自分の肌に住まわせることもできるでしょう。

しかしDNAストレージには弱点もあります。

情報の書き込みや読み出しに高度で高価な装置を要し、処理にも時間がかかる点です。

また生きている細菌などに組み込んだ場合、世代とともに変異が蓄積してデータの劣化も進行します。

さらに読み込み速度にも問題がありました。

これまでもDNAや合成高分子でデータ保存に挑戦した研究はありましたが、復元時には質量分析計など高価な機器で分子を解析する必要があったのです。

こうしたハードルのため、分子メモリは現時点では実用から程遠いのが実情でした。

そこでテキサス大の研究チームは、「もっと手軽に書き込み・読み出しのできる分子メッセージ」を目指しました。

ポイントは、分子自体に電気的な読み取り可能な特徴を持たせることです。

これにより、大掛かりな分析機器ではなく電子回路によって直接情報をデコードできる可能性が生まれます。

パスパシ氏は今回の意義について「プラスチックの構成要素に情報を書き込み、それを電気信号で読み取ることに世界で初めて成功しました。これは日常的な材料に情報を保存する技術への大きな一歩です」と述べています。

つまり、日用品のプラスチックそのものを高性能な記憶媒体に変えてしまおうという大胆な発想なのです。

「鍵」は分子の中に──分子の鎖がPCロックを開けた瞬間

4個の分子は分解されるときにそれぞれ異なる電圧を発します/Credit:Bipin Pandey et al . Chem (2025)

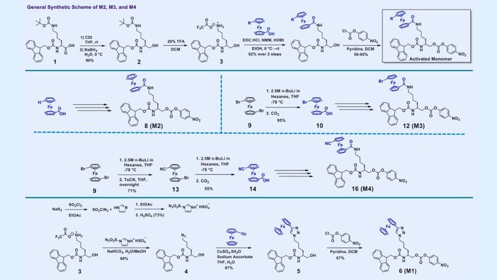
研究チームはまず、情報を分子の状態に変更(エンコード)するための「化学アルファベット」を作り上げました。

彼らは4種類のフェロセン誘導体モノマー(分子の構成要素)を基本の“文字”とし、それぞれが異なる電気化学的シグナルを示すように設計しています。

つまり「1 文字=4種類の分子の 連結パターン(1文字あたりに4分子を使用して表現した)」としたわけです。

具体的にはDNAの4文字(A・T・G・C)の代りとしてフェロセン誘導体を側鎖にもつリジン由来モノマー(M1〜M4) が使われました。
M1:トリアゾール基で修飾したフェロセン
M2:アミド基付きフェロセン
M3:ブロモ基とアミド基を持つフェロセン
M4:シアノ基とアミド基を持つフェロセン

この4種類を組み合わせることで256通りのユニークなコード(文字)を表現でき、標準的なキーボード入力の全て(ASCIIの拡張文字セットを含む幅広い記号)に対応可能となりました。

次に、研究チームはこの化学アルファベットを使い「Dh&@dR%P0W¢」という11文字のパスワードを分子に書き込む実験を行いました。(※Dh&@dR%P0W¢は「password777」や「123456789」といった単純なものではなくかなりしっかりしたパスワードと言えるでしょう。)

具体的には、パスワードの各文字を割り当てられた4分子の配列に変換し、11本の短い分子鎖を合成したのです。

各分子鎖は 1 文字ぶんの情報を担い、11 本すべてをそろえることでパスワードの全文字列が完成します。

では、どのようにして分子から文字を読み取るのでしょうか。

図は「文字→数字→分子ビーズ→電気信号→数字→文字」という文字や数字のデータを分子の鎖に「書き込んで」から「読み出す」までの流れを一枚絵で示したものです。まず左端では、パソコンに入力された文字が 0 と 1 の数字列に置き換えられ、それぞれが 256 文字ぶんの “化学アルファベット” と対応づけられます。続いてその数字列は 4 色のビーズに見立てた 4 種類のフェロセン系モノマー(M1〜M4)の並びに変換され、首飾りのような分子鎖として自動合成機の中で連結されます。真ん中の工程では、出来あがった鎖を試験管に入れ、鎖の端からモノマーを 1 粒ずつ外す化学反応を起こします。モノマーが溶液中に離れるたび、各モノマー固有の酸化還元反応が電極に微小な電流の「チップ音」のような信号を与え、それを差動パルスボルタンメトリーという方法で連続的に測定します。右端では、その電気信号の時間軸上の並びを解析ソフトが“ビーズの並び順”に再変換し、もとの 0・1 の数字列を復元、最終的に文字へとデコードしてパスワードが画面に表示されます。/Credit:Bipin Pandey et al . Chem (2025)

研究チームは分子の鎖を端から分解しながら、その都度生じる電気信号を解析する方法を開発しました。

具体的には、まず長い鎖の末端に化学反応を起こし、各分子を切り離していきます。

分子が外れるたびに、溶液中でその分子特有の酸化還元反応が起こり、電極にわずかな電流・電圧の変化が生じます。

パスワードの11文字にそれぞれ対応した分子の配列
パスワードの11文字にそれぞれ対応した分子の配列 / Credit:Bipin Pandey et al . Chem (2025)

このとき、4種類の分子はそれぞれ異なる電気的シグナル(波形パターン)を示すよう工夫されているため、外れた分子がどの種類かを電気信号から判別できるのです。(※分子鎖を塩基性の化学反応で末端から一つずつ切り離していくと、溶液中に放出された分子ごとに固有の酸化還元ピークが現れます。つまり4 個の分子を読み取れば、その並びが 1 文字分の情報として確定する仕組みです。)

研究チームは電圧を段階的に変化させながら電流応答を測定し、この分解の一部始終を“映画”のように観察しました。

するとパスワードに使われた11種類のオリゴマーをこの手法で分析した結果、すべての文字を誤りなく復元できることが実証されました。

実際、エンコードした11文字パスワード「Dh&@dR%P0W¢」を全て誤りなく解読し、得られた文字列を使ってコンピュータのロックを解除できることが確認されました。

これは完全にエラー無くデータを書き込み・読み出しできたことを意味し、分子メモリによる情報保存の確実性を示す成果です。

パスパシ氏は「電圧から現在分解されている分子が何かを知る手がかりが得られます。私たちは様々な電圧をスキャンしながら、分子が分解していく“映画”を観察します。そうすると、どの分子がどの時点で外れるかがわかるのです」と説明しています。

さらに「各分子がどの位置にいたか特定できれば、あとはそれらを繋ぎ合わせてエンコードされたアルファベット文字(=パスワードの文字)の正体を突き止めることができます」とも述べ、電気信号データを使って元のメッセージを再構築できることを強調しました。

分子ハードドライブ時代へのロードマップと残る課題

分子ハードドライブ時代へのロードマップと残る課題
分子ハードドライブ時代へのロードマップと残る課題 / Credit:Canva

分子を使ってデジタル情報を保存・復元し、それを直接電子的に読み取れたことは、データストレージ技術において画期的な一歩です。

今回の研究は世界初の「電気で読めるプラスチックメモリ」の実証であり、将来的には化学と電子工学の橋渡しとなる技術の礎と言えます。

従来はDNAや合成ポリマーに情報を記録しても、大型の分析装置で読み解く必要がありました。

しかし本手法なら、化学的にコード化された情報をそのまま電子回路で読み出せるため、データ保存とコンピュータを直接つなぐことが可能になります。

共同研究者であるエリック・アンスリン氏は「私たちの手法は、従来の質量分析ベースのシステムに比べ、小型で低コストな装置へとスケールダウンできる可能性があります。

これは化学的なエンコーディングを現代の電子システムやデバイスと結びつけるエキサイティングな展望を開くものです」と述べており、分子メモリを日常の電子機器へ組み込んでいける未来像を描いています。

一方で、現状の技術にはいくつかの課題も残されています。

たとえば、今回のように各文字を担うオリゴマー自体を分解してしまうため、一度きりしか読み出せない点が挙げられます。

また解読に時間がかかることも問題で、11文字のパスワードを読むだけでも約2.5時間を要しました。

より長いメッセージや大容量データを扱うには、飛躍的な高速化が必要となるでしょう。

実際、研究チームも現在プロセスの短縮と高速化に取り組んでいるといいます。

アンスリン氏は「本手法は破壊的かつ時間のかかるプロセスという課題をまだ克服してはいないものの、ポリマーによるデータ保存技術のポータブルで統合化されたシステムという究極の目標に向けた第一歩です。次のステップは、オリゴマー(分子鎖)と集積回路を直結し、コンピュータチップ自体を記録情報の読み出しシステムにすることです」と展望を語っています。

もし読み出しの高速・高効率化や非破壊化が実現すれば、安価で小型な「分子ハードドライブ」として実用化できる可能性も見えてくるでしょう。

今回示された技術はまだ始まりに過ぎませんが、電力を消費せず半永久的にデータを保存できる分子ストレージという夢に向けて、重要なマイルストーンとなったことは間違いありません。

将来この技術が成熟すれば、私たちの身の回りのプラスチック製品が、実は莫大なデータを秘めた見えない記憶装置になる日が来るかもしれません。

その時、パスワードを覚えているのはコンピュータでも人間でもなく、机の上の小さな分子かもしれません。

参考文献

Log in to your computer with a secret message encoded in a molecule
https://www.eurekalert.org/news-releases/1083188

元論文

Unlock Your Computer with a Password-encoded Molecule
https://cockrell.utexas.edu/news/archive/10194-unlock-your-computer-with-a-molecular-password#:~:text=%E2%80%9CThe%20voltage%20gives%20you%20one,%E2%80%9D

ライター

川勝康弘: ナゾロジー副編集長。 大学で研究生活を送ること10年と少し。 小説家としての活動履歴あり。 専門は生物学ですが、量子力学・社会学・医学・薬学なども担当します。 日々の記事作成は可能な限り、一次資料たる論文を元にするよう心がけています。 夢は最新科学をまとめて小学生用に本にすること。

編集者

ナゾロジー 編集部

元記事で読む
の記事をもっとみる