1. トップ
  2. クイズ
  3. どうやって計算するか覚えてる?「(x+3)(x+4)」→正しく計算できる?

どうやって計算するか覚えてる?「(x+3)(x+4)」→正しく計算できる?

  • 2025.5.14
undefined

計算式の中に、xやyなどの文字が入ってくると、難しく感じるかもしれません。しかし、正しい式変形を理解していれば、正答にたどり着けるはずです。

今回は「式の展開」の問題に挑戦してみましょう。

問題

次の式を展開しなさい。
(x+3)(x+4)

どのように計算をすれば良いでしょうか。

まずは自分自身で取り組んでみましょう。

解説

今回の問題の答えは、「(x^2)+7x+12」です。

どのように計算をするか解説をします。

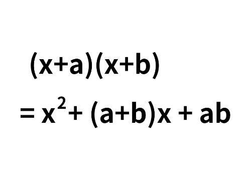
今回の問題では、以下の乗法公式を利用します。

undefined

「(x+3)(x+4)」の場合で確認してみましょう。

「x^2+(a+b)x+ab」に当てはめて計算すると…
(a+b)xの部分は、「(3+4)x=7x」
abの部分は、「3×4=12」

したがって、答えは「(x^2)+7x+12」となります。

乗法公式の確認

問題を解くために「乗法公式」を紹介しましたが、なぜこのような式になるのかを確認しましょう。

これは分配法則で掛け算をすることで導くことができます。

undefined

全部で四回の掛け算をし、カッコを外します。

その後、同類項(xの部分)をまとめると、足し算の形が作れます。

まとめ

式の展開は、その後の数学を学習する上でとても大切な考え方の一つです。特に、この記事で紹介した解法は、非常によく使います。

忘れていた方はぜひ学び直しをしてみましょう。

※当メディアでご紹介する数学関連記事においては、複数の解法をもつものもございます。
あくまでも一例のご紹介に留まることを、ご了承ください。



文(編集):SAJIMA
日本国内外の学校、学習塾で数学・理科の講師として幼児から高校生までを指導。現在はフリーランスとして独立し、オンラインを中心に授業を展開している。子供への学習指導だけでなく、大人向けの数学講座も開講し、算数・数学の楽しさを広く伝える活動を行っている。日本数学検定協会認定「数学インストラクター」


もう一問挑戦!

これどうやって計算するか覚えてる?「70÷35−2」→正しく計算できる?
これどうやって計算するか覚えてる?「70÷35−2」→正しく計算できる?