1. トップ
  2. 恋愛
  3. 数学の超難問を収監中の殺人犯が解いてしまった話

数学の超難問を収監中の殺人犯が解いてしまった話

  • 2025.6.19
数学の超難問を殺人犯が解いてしまう
数学の超難問を殺人犯が解いてしまう / Credit:Depositphotos

アメリカ・シアトル近郊の刑務所には数学の天才が収監されています。

殺人犯であるクリストファー・ヘヴンズ氏が刑務所で数学を学ぶようになった結果、ある難問を解くまでになったのです。

彼の成果は学術誌に掲載されており、それ以来、刑務所の中で他の受刑者たちに数学を教えているとのこと。

今回は、まるで映画や小説にでも出てきそうな「数学を学んだ殺人犯」のエピソードをご紹介します。

目次

  • 25年の刑期を過ごす殺人犯に転機が訪れる
  • 服役中の殺人犯が連分数の超難問を解く

25年の刑期を過ごす殺人犯に転機が訪れる

現在40歳のヘヴンズ氏は、まだ若いときに「道を踏み外した」そうです。

高校は中退し、仕事も見つかりません。薬物中毒になった彼には、最終的に殺人罪で25年の刑期が言い渡されることになります。

殺人犯として収監されたクリストファー・ヘヴンズ氏
殺人犯として収監されたクリストファー・ヘヴンズ氏 / Credit:Christopher Haven(Ancient Origins)_Imprisoned Murderer Solves Ancient Math Problem(2021)

既に9年間を刑務所の中で過ごしてきましたが、現在彼は、「ある使命を抱いている」と述べています。

それが「数学に打ち込む」ことであり、道を外れた彼の人生を大きく変化させるものとなりました。

ヘヴンズ氏の数学の才能は、刑務所生活の中で徐々に明らかになったようです。

最初彼は、刑務所の中で高等数学の基礎を独学で学びました。

そして刑務官と取引し、他の受刑者たちに基本的な計算の仕方を教えることを条件に、より高度な数学の教科書を入手するようになります。

ところがしばらく経ったとき、彼は現状の数学レベルでは物足りなく感じてしまいました。

そのため出版社に手紙を送り、世界で最も権威ある数学誌の1つ『Annals of Mathematics』を数冊注文しました。

そしてこの手紙がきっかけとなり、ヘヴンズ氏は数学の難問に挑戦する機会を得ることになります。

服役中の殺人犯が連分数の超難問を解く

ヘヴンズ氏が書いた手紙は、イタリア・トリノ大学(University of Turin)に所属する有名な数学者ウンベルト・チェルッティ氏に渡りました。

彼はヘヴンズ氏に興味を抱き、その能力を試すために数学の問題を送ったようです。

すると、すぐに非常に長い数式が書かれた返事の手紙が帰ってきました。

チェルッティ氏がコンピュータにその数式を入力したところ、正しく問題が解けていると判明。

この件でヘヴンズ氏の実力を認めたチェルッティ氏は、自身が取り組もうとしていた連分数の超難問を彼に与えたのです。

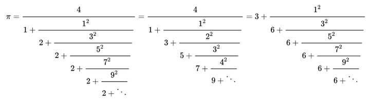
連分数とは簡単に言うと、分母にさらに分数が含まれているような分数のことです。

例えば円周率(π)は3.14159……と続きますが、連分数を使用すると下記の画像のように、シンプルな規則をもたせた形式で表現できるのです。

円周率(π)の連分数展開
円周率(π)の連分数展開 / Credit:Wikipedia_Continued fraction

そしてヘヴンズ氏は刑務所の中で紙とペンだけを使って、連分数におけるいくつかの規則性を新たに見出し、証明することに成功しました。

このヘヴンズ氏とチェルッティ氏による論文は2020年1月付の数学誌『Research in Number Theory』に掲載されています。

道を踏み外したヘヴンズ氏は刑務所の中で数学と出会い、才能を開花させて超難問を解くまでになったのです。

現在ヘヴンズ氏は刑務所の中で数学を教えている
現在ヘヴンズ氏は刑務所の中で数学を教えている / Credit:Washington Prison Service(Ancient Origins)_Imprisoned Murderer Solves Ancient Math Problem(2021)

現在彼は刑務所の中で数学クラブを設立しており、他の受刑者たちと共に数学を学んでいます。

そして「数学に打ち込むことで、社会に対する負債を清算したい」と願っているのです。

刑期は残り16年もありますが、それを終えた後は正式に数学を学びなおしたいと考えているようです。

まさに、「数学が殺人犯の人生を大きく変化させた」のです。

※こちらの記事は2020年に配信されたものを再編集して配信しています。

参考文献

An inmate’s love for math leads to new discoveries
https://theconversation.com/an-inmates-love-for-math-leads-to-new-discoveries-130123

Imprisoned Murderer Solves Ancient Math Problem
https://www.ancient-origins.net/news-general/christopher-havens-math-0015785

元論文

Linear fractional transformations and nonlinear leaping convergents of some continued fractions
https://link.springer.com/article/10.1007%2Fs40993-020-0187-5

ライター

大倉康弘: 得意なジャンルはテクノロジー系。機械構造・生物構造・社会構造など構造を把握するのが好き。科学的で不思議なおもちゃにも目がない。趣味は読書で、読み始めたら朝になってるタイプ。

編集者

ナゾロジー 編集部

元記事で読む
の記事をもっとみる