1. トップ
  2. どうやって計算するか覚えてる?「(x+6)(x-2)」→正しく計算できる?

どうやって計算するか覚えてる?「(x+6)(x-2)」→正しく計算できる?

  • 2025.12.7
undefined

計算の中に文字が入ると、急に難しく感じることがあります。

しかし、基本となる式の変形を理解していれば、落ち着いて正しい答えにたどり着くことができます。

今回は、中学数学でとても大切な「式の展開」に挑戦してみましょう。

問題

次の式を展開しなさい。
(x+6)(x−2)

どのように計算を進めれば良いでしょうか。まずは自分で考えてみましょう。

解説

今回の問題の答えは「x^2+4x−12」です。
※x^2は「xの2乗」を表します。

どのように求めるのか説明していきます。

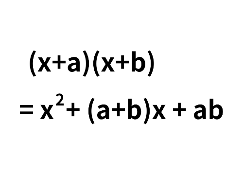
今回の式は、次の乗法公式を利用するとスムーズに計算できます。

undefined

ここで、与えられた式 (x+6)(x−2) を公式の形と比べると、

aにあたるのが6
bにあたるのが−2
であると分かります。

したがって、

(a+b)x の部分:
(6+(−2))x=4x
ab の部分:
6×(−2)=−12

よって、展開した式は「x^2+4x−12」となります。

乗法公式の確認

先ほど紹介した乗法公式は、分配法則を使って導くことができます。

undefined

四つの積をすべて計算し、カッコを外した後に、同類項(xの項)をまとめることで、展開後の形が作られます。

まとめ

式の展開は、この先の数学でも繰り返し使う重要な考え方です。

計算が苦手だと感じている場合でも、公式と分配法則の意味を整理すれば、必ず扱えるようになります。

忘れていた方は、この機会にもう一度復習してみましょう。

※当メディアでご紹介する数学関連記事においては、複数の解法をもつものもございます。
あくまでも一例のご紹介に留まることを、ご了承ください。



文(編集):SAJIMA
日本国内外の学校、学習塾で数学・理科の講師として幼児から高校生までを指導。現在はフリーランスとして独立し、オンラインを中心に授業を展開している。子供への学習指導だけでなく、大人向けの数学講座も開講し、算数・数学の楽しさを広く伝える活動を行っている。日本数学検定協会認定「数学インストラクター」


スピード勝負!他の問題にも挑戦しよう!

【脳トレ】角度を求める方法、覚えてる?→意外と忘れがちな『図形問題』特集
【脳トレ】角度を求める方法、覚えてる?→意外と忘れがちな『図形問題』特集
の記事をもっとみる