1. トップ
  2. どうやって計算するか覚えてる?「(9^5)÷(3^7)」→正しく計算できる?

どうやって計算するか覚えてる?「(9^5)÷(3^7)」→正しく計算できる?

  • 2025.12.23
undefined

「累乗」を使うと、大きな数でもコンパクトに表すことができます。

しかし、指数の扱い方を正しく理解していないと、計算で戸惑ってしまうことがあります。

今回は、累乗の性質を使って計算する問題に挑戦してみましょう。

問題

次の計算をしなさい。
(9^5)÷(3^7)

※当メディアでは、「9の5乗」のような累乗を「9^5」と表します。

「9^5」をそのまま計算すると非常に大きな値になりますが、指数の性質を使うと素早く簡単に解くことができます。

解説

今回の問題の答えは「27」(3の3乗)です。

途中の計算は次のようになります。

(9^5)÷(3^7)
=(3^10)÷(3^7)
=3^3
=27

どのように計算をしたのか解説をしていきます。

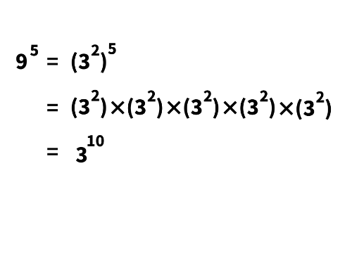
まず「9^5」を簡単になるように変形します。

9=3^2 なので、
9^5=(3^2)^5=3^10
となります。

この計算をまとめると、次のようになります。

undefined

よって、元の式は次のように変形できます。

(3^10)÷(3^7)

「3を10回掛け算した数」を「3を7回掛け算した数」で割るので、その計算結果は「3を3回掛け算した数」になります(10−7=3)。

したがって、
3^3=27

よって、答えは「27」です。

まとめ

指数の計算は、数が大きくなると地道な計算が難しくなります。

そのため、累乗の仕組みを理解して、工夫した計算が必要です。

忘れていた方は、この機会にぜひ整理してみてください。

※当メディアでご紹介する数学関連記事においては、複数の解法をもつものもございます。
あくまでも一例のご紹介に留まることを、ご了承ください。



文(編集):SAJIMA
日本国内外の学校、学習塾で数学・理科の講師として幼児から高校生までを指導。現在はフリーランスとして独立し、オンラインを中心に授業を展開している。子供への学習指導だけでなく、大人向けの数学講座も開講し、算数・数学の楽しさを広く伝える活動を行っている。日本数学検定協会認定「数学インストラクター」


スピード勝負!他の問題にも挑戦しよう!

【脳トレ】角度を求める方法、覚えてる?→意外と忘れがちな『図形問題』特集
【脳トレ】角度を求める方法、覚えてる?→意外と忘れがちな『図形問題』特集
の記事をもっとみる