1. トップ
  2. クイズ
  3. これどうやって計算するか覚えてる?「1/3×9+(−4)」→正しく計算できる?

これどうやって計算するか覚えてる?「1/3×9+(−4)」→正しく計算できる?

  • 2024.11.28
undefined

最近覚えた仕事の内容ははっきり覚えていても、昔習った算数や数学の知識はおぼろげになっている人は多いのではないでしょうか。特に日常生活であまり使わない分数や負の数の計算は、ルールが曖昧になっているかもしれませんね。

今回の問題に挑戦して、今の計算力を試してみましょう。

問題

次の計算をしなさい。
1/3×9+(−4)

解答

正解は、「−1」です。

どうやって計算すればよいか、分かりましたか?

次の「ポイント」で、計算過程を確認してみましょう。

ポイント

この問題のポイントは、「分数と整数の掛け算と負の数の足し算の計算方法」です。

まずは冒頭の分数と整数の掛け算から取り組んでいきましょう。

1/3×9+(−4)

まず、整数を分数にします。整数は分母1の分数に変換できるので、「9=9/1」です。これで掛け算が「分数×分数」の形になりました。

  1/3×9+(−4)
=1/3×9/1+(−4)

分数の掛け算では、分子どうし、分母どうしを掛けます。

  1/3×9/1+(−4)
=(1×9)/(3×1)+(−4)

ここで一度計算をストップしましょう。

分数の計算で重要なのが、約分です。約分とは、分子と分母を同じ数で割ることです。分数は分子と分母を同じ数で割っても表している数が変わらないので、約分により分数をより簡単な数にできるのです。

掛け算の途中に約分しておくと、後の計算が楽になります。

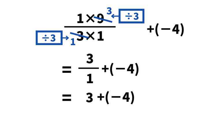
今回は分子の9と分母の3が、どちらも3で割れるので、次のように約分ができます。

undefined

  (1×9)/(3×1)+(−4) →分子9と分母3を3で割る
=(1×3)/(1×1)+(−4)
=3/1+(−4)
=3+(−4)

3/1は3のことなので、式は整数だけになりました。

次に、正の数と負の数を足す計算をします。

負の数の足し算は、正の数の引き算として計算します。

+(−〇)→−〇

どうしてこうなるのでしょうか。

例えば、ゲームなどでルール違反をすると、減点のペナルティをうけることがあります。減点が増えると持ち点は下がっていきますよね。

これと同じで、「負の数が増える」ことは、正の数の引き算と同じ意味を持つと考えてよいのです。

以上を踏まえて、続きの計算をしていきましょう。

  3+(−4)
=3−4
=−1

これで答えを出せましたね。

まとめ

今回は、整数と分数、そして負の数の計算問題に挑戦しました。

整数と分数を計算するときは、整数を分母1の分数に直します。分数の掛け算をするときは、忘れずに約分もしましょう。また、負の数の足し算は正の数の引き算として計算します。

今回のように、一つの式を計算するために複数の計算ルールが必要な問題は他にもあります。ぜひ引き続き挑戦してみてくださいね。

※当メディアでご紹介する数学関連記事においては、複数の解法をもつものもございます。 あくまでも一例のご紹介に留まることを、ご了承ください。



文(編集):VY
数学とIT技術学習が趣味のWebライター。実用数学技能検定2級と数学教員免許を取得後、家庭教師や学習支援スタッフとして数学指導を行ってきた。文系と理系の別、年齢にとらわれない、誰でも楽しめる数学解説作成を目指している。

監修:株式会社かえでプロダクション(公式HP

undefined

「編集技術で過去と未来をつなぐ」小学生・中学生・高校生の学習用教材を執筆・編集・校正する編集専門のプロダクション。英語・算数/数学・国語・理科・社会の主要5科目のテキストやドリル、テストや模試、デジタル系の教材など幅広く制作。教材からできる教育を目指し、教育業界を支える会社。会社独自の福利厚生が充実しており、社員が働きやすい環境を整え、新しい働き方で第三者機関から認定を受けている。


もう一問挑戦!

意外と間違える人が多いかも!「(16/27)×(9/10)+5−7」→正しく計算できる?
意外と間違える人が多いかも!「(16/27)×(9/10)+5−7」→正しく計算できる?

50%オフも!『Amazonブラックフライデー』超おトク商品に衝撃「え、安すぎ」
50%オフも!『Amazonブラックフライデー』超おトク商品に衝撃「え、安すぎ」