1. トップ
  2. 大人が意外と忘れてる数学「3/√3」→有理化すると?

大人が意外と忘れてる数学「3/√3」→有理化すると?

  • 2024.6.14
undefined

ルートを使った数を表すときには、いくつかのルールがあります。

例えば、「ルートが外せるときは外す」というのもその一つです。

今回は「有理化」に関する問題に挑戦してみましょう。

問題

次の数を有理化しなさい。
3/√3

「有理化」というのは、「分母にルート(√)が含まれている式を変形し、分母からルートを取り除く操作」のことです。

今回の場合は、分母の「√3」を消します。

解説

今回の問題の答えは「√3」 です。

この問題の場合は、複数の解法があるので、それぞれのやり方も見てみましょう。

分母・分子に同じ数を掛ける方法

分数の分母・分子に同じ数を掛けても、元の数と等しくなります。

これを利用して計算をしましょう。

undefined

分母の「√3」を消したいので、分母・分子に「√3」を掛けます。

分子:3×√3=3√3
分母:√3×√3=3

次に、「3」を約分すると、答えは「√3」になります。

有理化の際は、基本的にこの手順を用いるとよいでしょう。

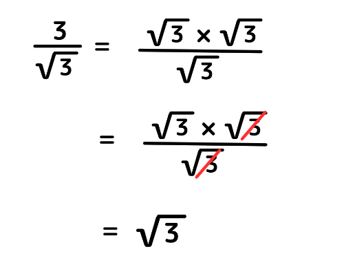
約分をする方法

今回の問題では、こちらの方法で解くことも可能です。

undefined

もとの式の分子の「3」は整数で表されており、これ以上簡単な表現はありません。

しかし、これをあえて「√3×√3」と掛け算の形に分解をします。

分子:3→「√3×√3」に分解
分母:√3のまま

すると、分母・分子に「√3」があるので、これで約分をしましょう。

残るのは「√3」だけで、これが答えとなります。

最初に紹介した「分母・分子に同じ数を掛ける方法」は、数字が変わっても同じ方法で解くことが可能です。

「有理化」といえば、このやり方と覚えている方も多いでしょう。

しかし、この「約分をする方法」の方が手順が少なく簡単です。

いつでも使える方法ではないですが、この方法が使えるときは、こちらの解き方をするとよいでしょう。

まとめ

今回は「有理化」について解説をしました。

ルートを含んだ計算には、必要不可欠な考え方です。

知らなかった方はぜひ学び直しをしてみましょう!

※当メディアでご紹介する数学関連記事において、複数の解法を持つものもございます。
あくまでも一例のご紹介に留まることを、ご了承ください。


文・編集(監修):SAJIMA
日本国内外の学校、学習塾で数学・理科の講師として幼児から高校生までを指導。現在はフリーランスとして独立し、オンラインを中心に授業を展開している。子供への学習指導だけでなく、大人向けの数学講座も開講し、算数・数学の楽しさを広く伝える活動を行っている。日本数学検定協会認定「数学インストラクター」


ルートの問題をもう一問どうぞ!