1. トップ
  2. 恋愛
  3. 学校の勉強は実践に役立たず、実践は学校のテストに役立たないと判明【Nature】

学校の勉強は実践に役立たず、実践は学校のテストに役立たないと判明【Nature】

  • 2025.2.11
【Nature】学校の勉強は実践に役立たず、実践は学校のテストに役立たないと判明
【Nature】学校の勉強は実践に役立たず、実践は学校のテストに役立たないと判明 / Credit:clip studio . 川勝康弘

「学校で習う算数や数学が、実際の日常生活で本当に役立っているのだろうか?」という疑問に、インドの最新研究が鋭い切り口で答えを示しました。

アメリカのMIT(マサチューセッツ工科大学)で行われた研究によって、市場で働く子どもたちは、複雑な計算を瞬時にこなし、暗算で効率的に取引の金額やお釣りを求める一方、教科書に沿った抽象的な問題となると苦戦することが明らかになっています。

逆に、学校で高得点を収める子どもたちは、定型的な問題には強いものの、実際の取引シーンでは単純な計算すらうまくいかず、このギャップは従来の「学校で学ぶ数学=実生活に役立つ」という常識を根底から揺るがす結果となりました。

この記事では、インドのコルカタとデリーで行われた調査結果をもとに、学校教育と実生活における計算能力の間に存在する大きな隔たりについて探ります。

研究内容の詳細は2025年2月5日に『Nature』にて発表されました。

目次

  • 市場で働く子供は学校で学ぶ子供よりも算数が得意なのか?
  • なぜ実践と勉強の間でスキルが移行しないのか?

市場で働く子供は学校で学ぶ子供よりも算数が得意なのか?

多くの人々は「学校で学ぶ算数・数学は日常生活の問題解決に直結している」と信じています。

教科書で習う計算方法やアルゴリズムを身につけることで、家庭の買い物やお金の管理、ビジネスの基本的な取引に応用できるはずだというのが従来の常識でした。

しかし、最新の研究はこの前提に重大な疑問を投げかけています。

インドのコルカタやデリーで行われた調査では、市場で働く子どもたちが実際の取引現場で驚異的な計算能力を発揮している一方、同じ子どもたちが学校で習う抽象的な数学の問題に取り組むと、成績が大きく低下することが明らかになりました。

逆に、学校で優秀な成績を収める子どもたちは、教室での計算問題には強いものの、実際の市場取引のような具体的な状況下では、基本的な計算すら苦戦するというギャップが存在しています。

この現状は、数学の知識が文脈に依存して身につくため、学習した環境や形式が異なるとその知識がうまく転用できないことを示唆しています。

つまり、教科書に書かれた抽象的な数字や数式と、実生活で直面する具体的な数値や取引は決して同じものではなく、双方に通用する「橋渡し」が欠けているのです。

今回、マサチューセッツ工科大学(MIT)の研究者たちは、インドの二大都市―コルカタとデリー―において、市場で働く子どもたちと学校に通う子どもたちという二つのグループを対象に、実生活での計算能力と教科書で学ぶ抽象的な数学の能力の違いを明らかにするための調査を実施しました。

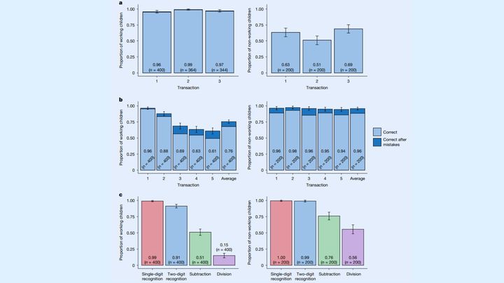
調査では、インドのコルカタとデリーの地元市場で働く1,400人以上の子どもたちと、学校に通う471名の生徒を対象に、「実際の市場取引を再現する問題」と「教科書形式の抽象的な数学問題」の2種類の課題に取り組んでもらいました。

「実際の市場取引を再現する問題」では、800グラムのジャガイモを20ルピー、1.4キログラムのタマネギを15ルピーで販売した場合の総額や、200ルピー紙幣を渡した際のお釣りの計算など、普段は見かけない数量や単位、価格設定を用いました。

一方、「教科書形式の抽象的な数学問題」では、学校で実施される形式の、3桁の数を1桁の数で割る問題や、2桁同士の引き算といった問題が出題されました。

また、実験では単なる計算の正誤だけでなく、どのような計算戦略(たとえば、数字の丸めや分解による効率的なアプローチ)が用いられているかも詳細に観察されました。

さらに、ストレスやインセンティブ(報酬)の影響など、その他の要因についても検証され、その影響は最小であることが確認されました。

もし市場で働くことと学校で学ぶことの効果に明白な優劣関係があれば、どちらかが両方のケースで高い点数を取ることになるでしょう。

しかし結果は違いました。

【Nature】学校の勉強は実践に役立たず、実践は学校のテストに役立たないと判明
【Nature】学校の勉強は実践に役立たず、実践は学校のテストに役立たないと判明 / このグラフのうち番上の段は、市場で働く子ども(左)と学校で学ぶ子供(右)が実際の取引を模した3つの計算問題に対しての正解率です。 真ん中の段は市場で働く子ども(左)と学校で学ぶ子供(右)が複雑で抽象的な問題を解いた場合の正解率です。一番下の段は市場で働く子ども(左)と学校で学ぶ子供(右)が教科書形式の数学問題に取り組んだ際の正答率を示しています。このグラフから、市場で働く子供は実践的な計算が得意なものの教科書的な問題が苦手で、学校に通う子は実践的な計算が苦手なものの教科書的な問題が得意であることを示しています。/Credit:Abhijit V. Banerjee et al . Nature (2025)

調査の結果、子どもたちの計算能力は学習環境に大きく依存していることが判明しました。

市場で働く子どもたちは、実際の市場取引を模したシナリオにおいて90%以上の正答率を示し、実生活で求められる複数の計算操作を迅速かつ正確にこなしていることが確認されました。

彼らはペンや紙に頼らず、頭の中で複雑な掛け算や割り算を分解し、丸め計算といった直感的な戦略を駆使して問題に対処しており、その柔軟性と効率性が際立っています。

しかし、同じ子どもたちが学校で出題される抽象的な数学問題に挑戦すると、正答率は大幅に低下し、例えば3桁の数を1桁で割る問題では正答率が32%程度に留まる結果となりました。

これまでの研究では、市場で働く子どもたちの算数能力が学校で学ぶ子どもたちより優れているとする報告もありましたが、本研究では働く子どもたちは学校形式の問題がかなり苦手であることが明らかになりました。

一方、学校に通う子どもたちは、教科書に基づいた抽象的な問題では筆記具を用いながら丁寧に計算し高い正確性を発揮するものの、実際の市場取引のように複数の商品や異なる単位、価格が絡む具体的なシナリオでは、その柔軟な応用力を欠き、正答率がわずか1%程度にまで落ち込むことが確認されました。

このように、両グループはそれぞれ慣れ親しんだ環境では優れた計算能力を発揮するものの、学習コンテキストが異なる場面ではそのスキルがうまく転用されず、市場で働く子どもたちは実生活に特化した直感的な戦略を持つ一方、学校で鍛えられた子どもたちは柔軟な解法に欠けるという明確な能力の二極化が浮き彫りになりました。

そうなると気になるのが理由です。

なぜ市場の経験は学校の問題を解くのに役立たず、学校の勉強は市場での実践に役立たないのでしょうか?

この事実を放置し続けることは、学校教育の危機につながりかねません。

なぜ実践と勉強の間でスキルが移行しないのか?

【Nature】学校の勉強は実践に役立たず、実践は学校のテストに役立たないと判明
【Nature】学校の勉強は実践に役立たず、実践は学校のテストに役立たないと判明 / 学校に通う子供が行った筆算の例。抽象的な数字の羅列が続いている。/Credit:Abhijit V. Banerjee et al . Nature (2025)

なぜ実践と勉強の間でスキルが移行しないのか?

謎を解明するため研究者たちはデータの分析を行いました。

その結果、市場で働く子どもたちは、まるで経験豊富な職人のように、現場で必要な直感的かつ柔軟な計算技を自ら見つけ出し、磨いていることが分かりました。

例えば、複雑な掛け算や割り算を、大きなパズルを小さなピースに分けるかのようにシンプルなステップに分解し、数字を適度に丸めることで計算の負担を軽減するなど、効率の良い方法を自然と使いこなしています。

しかし、これらの戦略は「生きた現場」での経験に根ざしているため、教室で提示される数字だけの抽象的な問題では、その意味が文脈から切り離され、まるで魔法の杖が使えなくなったかのように役に立たないのです。

一方、学校で学ぶ子どもたちは、決められた教科書のレシピに沿って、固定的なアルゴリズムや手順に従う訓練を重ねています。

そのため、記号や数式が並んだ問題に対しては、まるで精密機械のように正確な答えを導き出すことができます。

しかし、実生活のように複数の変数や不規則な条件が絡む場面では、その硬直した方法は、まるで鎖に縛られているかのように動かず、柔軟な対応が求められる状況には全く力を発揮できないのです。

今回の研究結果は、従来の数学教育が抱える根本的な課題を浮き彫りにしています。

市場で働く子どもたちと学校に通う子どもたちの間で見られる大きなギャップは、単に「計算ができる・できない」という問題ではなく、どのような環境でどんな計算方法が身につくかに起因しているのです。

そこで今回の研究では、学校教育を「実践で使える」ものにするための貴重な提言が行われました。

第一に、現実に即した文脈での数学教育の重要性が挙げられます。

学校で教えられる抽象的な記号やアルゴリズムは、実生活での直感的な計算戦略とは大きく異なります。

実際の取引や日常の数値問題に即した具体的なシナリオを取り入れることで、生徒は学んだ知識をより柔軟に応用できるようになるでしょう。

たとえば、学校内で市場シミュレーションや金融リテラシーを取り入れた実践型授業を導入することが考えられます。

第二に、教科書に書かれた方法にとらわれない、多様な計算戦略の提示と実践の機会が必要です。

市場で働く子どもたちが自ら発見した「分解」や「丸め」といった効率的な計算方法は、学校での固定的なアルゴリズムとは一線を画しています。

教育現場では、従来の一辺倒な計算方法だけでなく、直感的な解法や多様なアプローチを紹介し、生徒に実践させる機会を増やすべきです。

これにより、生徒たちは自分に合った方法を選び、柔軟に問題に対応できるようになるでしょう。

第三に、既存の教科書の型を破る早期の教育介入が重要です。

研究では、一度形成された思考の枠組みは後から変えにくいことが示唆されています。

したがって、幼少期や初等教育段階から、具体的な事例と抽象的なアプローチの両方を統合した指導を行うことが、将来の柔軟な数学的思考力の育成に不可欠です。

【Nature】学校の勉強は実践に役立たず、実践は学校のテストに役立たないと判明
【Nature】学校の勉強は実践に役立たず、実践は学校のテストに役立たないと判明 / Credit:Canva

現在の日本では、教科書に縛られた教育が主流であり、教科書にない方法で問題を解くと周囲から「奇異」の目で見られることもあります。

(※実際、昭和時代に小学校に通っていた筆者は、教科書にない方法で問題を解いたために教師の逆鱗に触れ、教室の外に出される経験をしたことがあります。)

そのような風土を改善することは、日本の子供たちの計算能力を改善するのに役立つでしょう。

ノーベル経済学賞を受賞したエスター・デュフロ氏は、本研究について「学校で習う抽象的な数学と、現実の市場で実践される直感的な計算力は、実は全く異なるスキルセットです。

教室で鍛えられたアルゴリズムが、日常の複雑な取引にそのまま活かされるとは限りません」とコメントしています。

氏は、教育現場での指導方法において実生活との結びつきを強化する必要性を強調し、子どもたちが早期から具体的な事例に触れる機会を増やすことが、将来の柔軟な数学的思考の育成につながると述べています。

もし日本においてもこのような改革が進めば、今後の世代は教室で学ぶ理論的な知識と、実生活で求められる実践的な能力の両方をバランスよく身につけることができるでしょう。

元論文

Children’s arithmetic skills do not transfer between applied and academic mathematics
https://doi.org/10.1038/s41586-024-08502-w

ライター

川勝康弘: ナゾロジー副編集長。 大学で研究生活を送ること10年と少し。 小説家としての活動履歴あり。 専門は生物学ですが、量子力学・社会学・医学・薬学なども担当します。 日々の記事作成は可能な限り、一次資料たる論文を元にするよう心がけています。 夢は最新科学をまとめて小学生用に本にすること。

編集者

ナゾロジー 編集部

元記事で読む
の記事をもっとみる