1. トップ
  2. 婚期の遅れ・少子化の原因に「奨学金返済が関連」国内初の報告

婚期の遅れ・少子化の原因に「奨学金返済が関連」国内初の報告

  • 2024.2.25
国内初!奨学金の負債があると「婚期が遅れ、子供の数が減る」ことを確認
国内初!奨学金の負債があると「婚期が遅れ、子供の数が減る」ことを確認 / Credit: canva

奨学金の返済は”若者の晩婚化”に関係していたようです。

奨学金は経済的に就学が難しい人々を手助けする制度である反面、卒業後から始まる返済により、社会に出たばかりの若者にとって大きな負担となっています。

そこで慶應義塾大学 経済研究所は、こうした奨学金の負債が日本の若者の家族形成に与える影響を検証。

その結果、奨学金は確かに若者の婚期の遅れや子供の数の減少に影響していたことが国内で初めて確認されたのです。

このことは奨学金制度を設計するにあたり、将来的な若者の家族形成にも配慮することの必要性を示しています。

研究の詳細は2024年2月6日付で学術誌『Studies in Higher Education』に掲載されました。

目次

  • 毎年30万人の若者が借金を背負って社会に出ている
  • 奨学金負債があると婚期が遅れる可能性

毎年30万人の若者が借金を背負って社会に出ている

昨今は高等教育への需要の高まりと、日本学生支援機構(JASSO)の拡大を背景に、奨学金の受給者数や受給額が急速に増大しつつあります。

高等教育とは、中学卒業後に続く段階を指し、普通科高校・高等専門学校のほか、高校卒業後の大学・短期大学・専門学校・大学院などを含んだ教育課程です。

高等教育の在学者におけるJASSO奨学金の受給率は現在、1990年代前半の10%台から40%台にまで上昇しているといいます。

中学卒業後に続く高等教育の分類
中学卒業後に続く高等教育の分類 / Credit: 文部科学省

これは国勢調査の人口推計から試算すると、40代半ばまでの成人世代のうち、およそ4人に1人が奨学金を利用したという規模です。

加えて、受給者の大半は「貸与型」の奨学金であり、「給付型」はごく少数に限定されている点も問題視されています。

奨学金には大きく分けて「給付型」「貸与型」があり、給付型は文字通り、お金を給付されるので返済する必要がありません。

ただ採用基準が高く、なかなか審査に通らないという難点があります。

これに対し、貸与型は審査基準こそ低いものの、お金を借りる形なので卒業後に返済義務が発生します。

「貸与型」と「給付型」の違い
「貸与型」と「給付型」の違い / Credit: ガクシー

また貸与型は「第一種(無利子)」「第二種(有利子)」の2つに分けられ、第一種は借りた分だけを返せばいいのに対し、第二種は借りた分にプラスして利子を返さなければならないので、負担がさらに大きくなります。

受給者の多くはこの貸与型となっており、今後も毎年30万人前後の若者が借金を背負った状態で社会に出ていくと見込まれているのです。

奨学金の負債は若者のライフイベントに影響するのか?

奨学金負債が若者世代に与える影響は、他国で大きく注目されています。

例えば、アメリカでは奨学金の返済義務を負った若者の就職、進学、転職、結婚、出産、車・住宅の購入などに及ぼす影響の実証研究が数多くなされているのです。

一方、日本ではそうした調査がほとんど行われていませんでした。

そこで本研究チームは、国内で初めて、貸与型の奨学金利用が若者世代の家族形成に及ぼす影響を調べることにしました。

奨学金負債があると婚期が遅れる可能性

チームは今回、「仕事と生活についての第二世代調査(JHPS-G2)」で得られたデータを用いて、日本全国における高等教育の在学時点での奨学金情報と、その後の生活状況を比較分析しました。

分析対象としては、高等教育を受けたことのある20〜49歳の男女568名が選ばれています。

調査では具体的に、在学中の貸与型奨学金の利用と、卒業後の婚姻および出産などのライフイベントとの関係性を分析しました。

その結果、奨学金の返済義務が一部の若者の婚期の遅れや子供の少なさに確かに影響している証拠が確認されたのです。

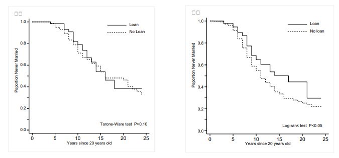
こちらの図は貸与型奨学金の受給と結婚確率との関係性を示したグラフになります。

貸与奨学金の受給と未婚確率との関係性(左が男性、右が女性)
貸与奨学金の受給と未婚確率との関係性(左が男性、右が女性) / Credit: 慶應義塾大学 – 奨学金の負債が若者の家族形成に与える影響(2024)

横軸は「20歳を基点とした経過年数」、縦軸は「未婚率の残存数」、黒線は「奨学金の受給あり」、点線は「奨学金の受給なし」です。

これを見ると、左の男性の場合は、最初の十数年でわずかながら奨学金の受給者に婚期の遅れが見られますが、それほど有意な差ではありませんでした。

一方で、右の女性の場合は、奨学金を借りている人ほど、年を経るにつれて未婚率が有意に高くなっていることが分かりました。

研究者によると、特に2年制の高等教育(短期大学や専門学校)を受けた女性で顕著な婚期の遅れが見られたといいます。

また子供を持つ数にも影響が見られており、こちらも男性では有意な差はなかったものの、女性(特に2年制の高等教育を受けた女性)では、奨学金を借りなかった女性に比べて、子供を持つ数が有意に少なくなっていたとのことです。

他方で、奨学金の受給額が結婚確率に与える影響は検出されませんでした。

奨学金利用は確かに若者の家族形成に影響していた
奨学金利用は確かに若者の家族形成に影響していた / Credit: canva

その理由までは定かでないものの、以上の結果は、奨学金利用の有無が日本の若者の家族形成に影響を与えることを示した国内初の成果だといいます。

本研究では女性にその顕著な作用が見られましたが、今回はサンプル数が少なかったため、今後さらに多くの奨学金受給者を対象に調べることで、男性でも同様の悪影響が見つかる可能性があるとのことです。

また研究者らはこれを踏まえ、奨学金制度の設計においては、進学・就学環境への影響だけではなく、卒業後の将来的な家族形成に与える影響をも考慮する必要性があると指摘しました。

奨学金制度に関わる問題は、全体的に進学率が増えており、これをカバーするために生じている側面も否めないでしょう。

しかし、家庭の事情や経済的な困窮から仕方なく借りている学生も多く存在しています。

日本社会では今、少子化や晩婚化が問題視されていますが、その解決には奨学金制度の改善も重要となるかもしれません。

参考文献

奨学金の負債が若者の家族形成に与える影響-「JHPS第二世代付帯調査」に基づく研究
https://www.keio.ac.jp/ja/press-releases/2024/2/16/28-156939/

奨学金制度の種類と概要
https://www.jasso.go.jp/shogakukin/about/index.html

元論文

Student loan debt and family formation of youth in Japan
https://doi.org/10.1080/03075079.2024.2307972

ライター

大石航樹: 愛媛県生まれ。大学で福岡に移り、大学院ではフランス哲学を学びました。 他に、生物学や歴史学が好きで、本サイトでは主に、動植物や歴史・考古学系の記事を担当しています。 趣味は映画鑑賞で、月に30〜40本観ることも。

編集者

海沼 賢: 以前はKAIN名義で記事投稿をしていましたが、現在はナゾロジーのディレクションを担当。大学では電気電子工学、大学院では知識科学を専攻。科学進歩と共に分断されがちな分野間交流の場、一般の人々が科学知識とふれあう場の創出を目指しています。

元記事で読む
次の記事
の記事をもっとみる