1. トップ
  2. 大人が意外と間違える「(5⁶×5⁴÷5⁹)² 」の答えは?実はカンタンです!

大人が意外と間違える「(5⁶×5⁴÷5⁹)² 」の答えは?実はカンタンです!

  • 2024.1.21
undefined

同じものを何回もかけ算するときは「指数」を用いて、数を表します。

例えば5³と表せば、5を3回かけ算、つまり5×5×5=125ですね。

とても便利な表し方である一方、同じものを何度もかけ算すると、数が大きくなってしまい、計算が難しそうな印象です。

しかし、いくつかの「指数法則」を知っているだけで、簡単に計算が可能です。

問題

次の計算をしなさい。
(5⁶×5⁴÷5⁹)²

とても複雑な計算なように見えますが、どこから順に計算をすればよいのでしょうか。

 

さて、今回の問題の答えは「25(5²)」です。

解説

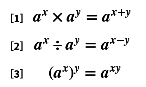
まず始めに、基本的な指数法則を確認しておきましょう。

undefined

[1]の左辺は、「aをx回かけ算した数」と「aをy回かけ算した数」をさらにかけ算しています。

例えば、3²×3³の計算であれば、次のように計算が可能です。

3²×3³
=(3×3)×(3×3×3)
=3⁵

確かに、指数部分を「たし算」することで計算できますね。

次に[2]は、「aをx回かけ算した数」と「aをy回かけ算した数」をわり算しています。これは、分数にして約分をすると考えることができます。3⁵÷3²の計算であれば次のように計算が可能です。

3⁵÷3²
=(3×3×3×3×3)÷(3×3)
=3×3×3
=3³

最後に[3]は、指数が二重になっています。これも指数の考え方を順に適応すると確認することができますね。(3³)²の計算であれば次のように計算が可能です。

(3³)²
=(3³)×(3³)
=(3×3×3)×(3×3×3)
=3⁶

以上を参考にして、今回の問題を解いてみましょう。

まずはカッコの中の計算からです。カッコの中は、かけ算・わり算になっているので、「指数部分をたし算・ひき算」をしましょう。

すると、(5¹)²という式になります。5¹というのは5のことです。したがって、5²(25)が答えとなります。

計算をまとめると、以下の通りです。

undefined

まとめ

複雑なように見えた計算問題ですが、実は指数部分で、簡単なたし算・ひき算・かけ算をやっているだけですね。

計算が得意な方なら、暗算でもできるかもしれません。


文・編集(監修):SAJIMA

日本国内外の学校、学習塾で数学・理科の講師として幼児から高校生までを指導。現在はフリーランスとして独立し、オンラインを中心に授業を展開している。子供への学習指導だけでなく、大人向けの数学講座も開講し、算数・数学の楽しさを広く伝える活動を行っている。日本数学検定協会認定「数学インストラクター」