1. トップ
  2. 大人が意外と間違える「(10²⁴×10²⁰÷10⁴⁰)²」→すぐに分かるよ〜!

大人が意外と間違える「(10²⁴×10²⁰÷10⁴⁰)²」→すぐに分かるよ〜!

  • 2024.1.23
undefined

「指数」というのは、幾つものかけ算を繰り返すときに用いて、簡潔に式を表すことがでてき便利です。

しかし、式が長くなると、どのように計算をすればいいのか迷ってしまうことはないでしょうか。

今回は、基本的な指数法則を確認して、計算の仕方を学びましょう!

問題

次の計算をしなさい。
(10²⁴×10²⁰÷10⁴⁰)²

2³のような小さい数であれば、すぐに計算できる方も多いのではないでしょうか。

これは「2を3回かけ算した数」なので、2×2×2=8となります。

今回の問題では10²⁴、つまり「10を24回かけ算した数」など、とても大きな数になってしまいます。さらにそれをかけ算、わり算しています。

どのように計算をすればよいのでしょうか。

 

さて、今回の問題の答えは「100,000,000(10⁸)」です。

解説

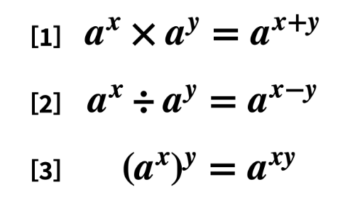
まず始めに、基本的な指数法則を確認しておきましょう。

undefined

[1]の左辺は、「aをx回かけ算した数」と「aをy回かけ算した数」をさらにかけ算しています。

例えば、2²×2³の計算であれば、次のように計算が可能です。

2²×2³
=(2×2)×(2×2×2)
=2⁵

確かに、指数部分が「たし算」で計算することができますね。

次に[2]の左辺は、「aをx回かけ算した数」と「aをy回かけ算した数」をわり算しています。これは、分数にして約分をすると考えることができます。

2⁵÷2²
=(2×2×2×2×2)÷(2×2)
=2×2×2
=2³

最後に[3]の左辺は、指数が二重になっています。これも指数の考え方を順に適応すると確認することができますね。

(2³)²
=(2³)×(2³)
=(2×2×2)×(2×2×2)
=2⁶

以上を参考にして、今回の問題を解いてみましょう。

まずはカッコの中の計算からです。カッコの中は、かけ算・わり算になっているので、「指数部分をたし算・ひき算」をしましょう。

すると、(10⁴)²という式になります。これは、(10⁴)×(10⁴)ですね。したがって、10⁸(100,000,000)が答えとなります。

計算をまとめると、以下の通りです。

undefined

まとめ

一見すると難しい計算式ですが、ひとつひとつを整理していくと、実はそんなに複雑ではありません。

このような計算がパッとできるようになれば、数学も楽しくなってきそうですね!

忘れていた方もぜひ学び直しをしてみてください。


文・編集(監修):SAJIMA

日本国内外の学校、学習塾で数学・理科の講師として幼児から高校生までを指導。現在はフリーランスとして独立し、オンラインを中心に授業を展開している。子供への学習指導だけでなく、大人向けの数学講座も開講し、算数・数学の楽しさを広く伝える活動を行っている。日本数学検定協会認定「数学インストラクター」